高一10月大型联考

2025-10-17 18:15:51

返回首页

题号 试题类型 试题类别 试题图片 试题难度 试题分值 操作区域
1 选择题

集合与简易逻辑







简单

5
2 选择题

集合与简易逻辑







简单

5
3 选择题

集合与简易逻辑







简单

5
4 选择题

集合与简易逻辑







简单

5
5 选择题

集合与简易逻辑







简单

5
6 选择题

集合与简易逻辑







简单

5
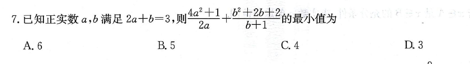
7 选择题

集合与简易逻辑







简单

5
8 选择题

集合与简易逻辑







简单

5
9 选择题

集合与简易逻辑







简单

6
10 选择题

集合与简易逻辑







简单

6
11 选择题

集合与简易逻辑







简单

6
12 填空题

初高中衔接教材







简单

5
13 填空题

初高中衔接教材







简单

5
14 填空题

初高中衔接教材







简单

5
15 解答题

三角函数







简单

13
16 解答题

三角函数







简单

15
17 解答题

三角函数







简单

15
18 解答题

三角函数







简单

17
19 解答题

三角函数







简单

17