0724线上测试

2025-7-24 0:21:17

返回首页

题号 试题类型 试题类别 试题图片 试题难度 试题分值 操作区域
1 选择题

集合与简易逻辑







简单

5
2 选择题

集合与简易逻辑







简单

5
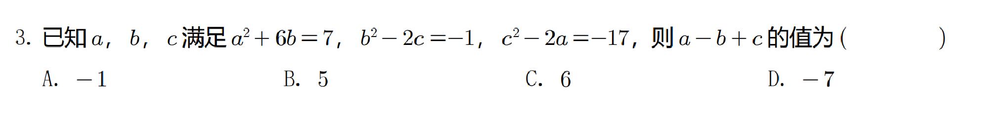
3 选择题

集合与简易逻辑







简单

5
4 选择题

集合与简易逻辑







简单

5
5 选择题

集合与简易逻辑







简单

5
6 选择题

集合与简易逻辑







简单

5
7 选择题

集合与简易逻辑







简单

5
8 选择题

集合与简易逻辑







简单

5
9 选择题

集合与简易逻辑







简单

5
10 选择题

集合与简易逻辑







简单

5
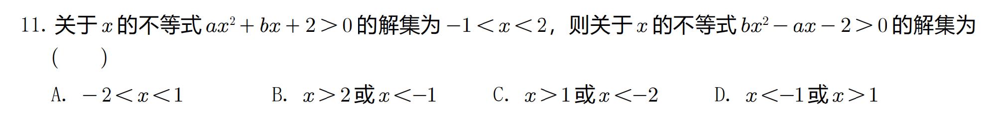
11 选择题

集合与简易逻辑







简单

5
12 选择题

集合与简易逻辑







简单

5
13 选择题

集合与简易逻辑







简单

5
14 选择题

集合与简易逻辑







简单

5
15 选择题

集合与简易逻辑







简单

5
16 选择题

集合与简易逻辑







简单

5
17 选择题

集合与简易逻辑







简单

5
18 选择题

集合与简易逻辑







简单

5
19 选择题

集合与简易逻辑







简单

5
20 选择题

集合与简易逻辑







简单

5
21 选择题

集合与简易逻辑







简单

5
22 选择题

集合与简易逻辑







简单

5
23 选择题

集合与简易逻辑







简单

5
24 选择题

集合与简易逻辑







简单

5
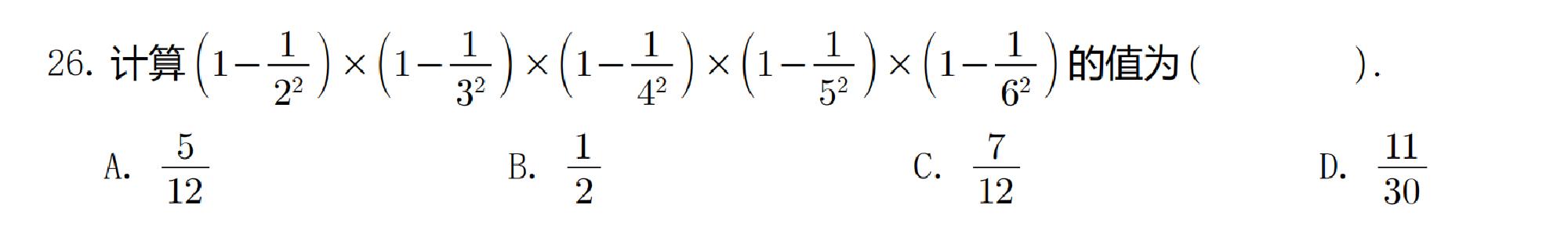
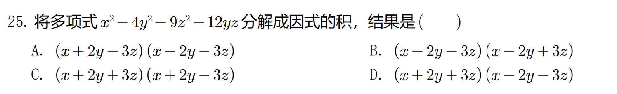
25 选择题

集合与简易逻辑







简单

5
26 选择题

集合与简易逻辑







简单

5
27 解答题

三角函数







简单

10
28 解答题

三角函数







简单

10