| 题号 | 试题类型 | 试题类别 | 试题图片 | 试题难度 | 试题分值 | 操作区域 | 
|---|---|---|---|---|---|---|
| 1 | 选择题 | 集合与简易逻辑 |  | 简单 | 5 | |
| 2 | 选择题 | 集合与简易逻辑 |  | 简单 | 5 | |
| 3 | 选择题 | 集合与简易逻辑 |  | 简单 | 5 | |
| 4 | 选择题 | 集合与简易逻辑 |  | 简单 | 5 | |
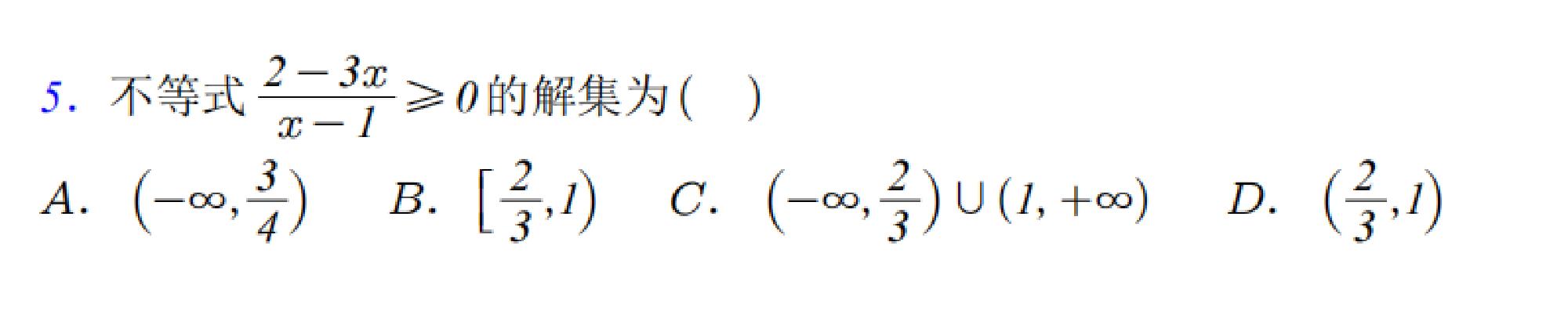
| 5 | 选择题 | 集合与简易逻辑 |  | 简单 | 5 | |
| 6 | 选择题 | 集合与简易逻辑 |  | 简单 | 5 | |
| 7 | 选择题 | 集合与简易逻辑 |  | 简单 | 6 | |
| 8 | 选择题 | 集合与简易逻辑 |  | 简单 | 6 | |
| 9 | 选择题 | 集合与简易逻辑 |  | 简单 | 6 | |
| 10 | 填空题 | 初高中衔接教材 |  | 简单 | 5 | |
| 11 | 填空题 | 初高中衔接教材 |  | 简单 | 5 | |
| 12 | 填空题 | 初高中衔接教材 |  | 简单 | 5 | |
| 13 | 填空题 | 初高中衔接教材 |  | 简单 | 5 | |
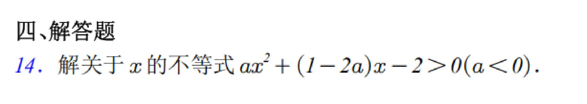
| 14 | 解答题 | 三角函数 |  | 简单 | 15 | |
| 15 | 解答题 | 三角函数 |  | 简单 | 17 |